人工智能
学习参考资料: 1.1.1 什么是神经网络 (captainbed.cn)
神经网络
什么是神经网络
人工智能的神经网络受到人体大脑的启发,构建出来。
在人的大脑中,有着数十亿叫神经元的细胞,它们连接成为一个网络。
而在人工智能中,模仿人的大脑,也创建出N个神经元,它们连接成为神经网络。
而每个神经元负责接受外部刺激,处理信息,转化成结果。



数据传入神经网络
对于不同特征的数据(例如语音、图像、传感器或其他等等)在计算机中都会有对应的数字表示形式。通常它们会被转化成一个特征向量,传入到神经网络中。
举例:假设一个图像有64*64个像素,每个像素就是一个颜色点,每个颜色点在(红(0-255),蓝(0-255),绿(0-255))三原色可以调配出所有色彩之间,
所以在计算机中,3*64*64个颜色点构成这张图像 = 12288 总特征数,这个12288维特征向量就代表了这张图像.神经网络接收这个特征向量,预测并得出结果.
神经网络如何进行预测
逻辑回归公式
预测的过程其实只是基于一个简单的公式(逻辑回归公式):z = dot(w,x) + b
x表示输入特征向量,如果有三个特征就可以用(x1,x2,x3)表示
w表示权重,代表每个特征的重要程度
b表示阈值,用于影响预测结果
dot表示将w和x进行向量相乘
z表示预测结果
于是上面的公式展开后就成 z = (w1*x1 + w2*x2 + w3*x3) + b

举例:
假设你现在想喝奶茶,但现在天气不好,配送时间太长,而你又可能马上要下班了.
那么影响结果的因素有3个特征,而你对每个因素的看重程度代表着权重,
天气好不好对你不重要.
w1=0,x1=1(w1=0表示无所谓,x1=1表示确实不好);配送时间太长有影响.
w2=3,x2=1(w2=3表示有一定程度影响但不大,x2=1表示确实有影响)马上要下班了,想马上回家.
w3=6,x3=1(w3=1表示想回家的优先级很高,x3=0表示想回家)想回家的期望值很高.
b=-10
那么我们得出公式: z = (0*1 + 3*1 + 6*1) - 10 ,结果是-1.
根据结果表示z<0则不会喝,z>0会喝,所以我们预测你不会现在想喝奶茶.
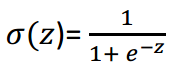
激活函数
在实际的神经网络中,上面的逻辑回归只能适用于非常简单的逻辑.在复杂场景中计算得出的z值就不太准确,所以我们需要在逻辑回归外面再套一层函数.
这个函数就叫做激活函数.下面简单介绍一种激活函数:sigmoid


这个函数的作用是: 将z映射到[0,1]之间.x表示z值,y表示预测结果.可以看出,z越大,y越趋向于1,z越小,y越趋向于0.
在刚才的例子中,假设z的结果是1,而y’值=0.8,则表示有80%的概率会买.但z值是-1,所以不会买.